I. Basic micromagnetic concept and main energy contributions
Theoretical micromagnetics as founded by W.F.Brown is a phenomenology for the evaluation of the total magnetic free energy Etot of a ferromagnetic body if its geometry, material parameters and the magnetization configuration are known. In its 'minimal' version micromagnetics takes into account four energy contributions:
Energy in the
external field E
ext:
Magnetocrystalline anisotropy energy E
an (e.g., uniaxial case):
Exchange stiffness energy E
exch (isotropic exchange assumed):
Magnetodipolar interaction energy (stray or demagnetizing) field energy E
dem:
where the demagnetizing field H
dem can be calculated as a convolution of the magnetization distribution inside a ferromagnet with the dipolar interaction kernel.
II. Finite-difference approximations of the energy contributions used in MicroMagus
Notation:
Mi - magnetization in the cell
# i,
mi = Mi/M
i
Hiext - external field averaged over the cell
# i
D
Vi - cell volume
1.
External field
2.
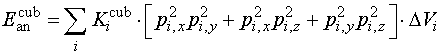
Anisotropy (
Ki – anisotropy constants)
- uniaxial (ni – unit vector of the anis. axis)
- cubic (px,y,z – components of the unit magn. vector in a local coord. system)
3.
Exchange (
Jij – exchange coeff.,
kij – exch. weakening,
aij –
angle between
Mi and
Mj)
4.
Stray field (
Wij – interaction coeff. between cells
i and
j)